
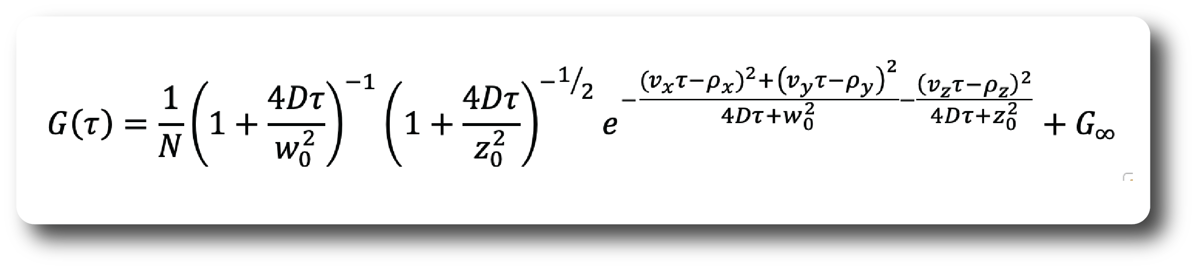
Theoretical CCF obtained for two-focus FCS at different flow rates. The CCF is calculated by subtracting the forward and backward correlation funditons betwee the two voumes, thus elimintaing the diffusive componennt and showing only the flow component.