IOP;

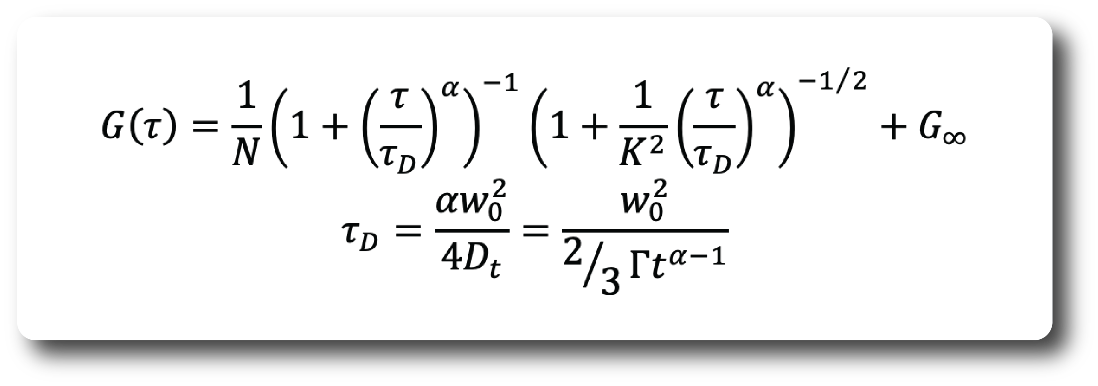
Thoretical ACF for 3D anomalous subdiffusion. The diffusion times τ = 50 μs. The value of α varies between 0 and 1 in steps of 0.1.