IOP;

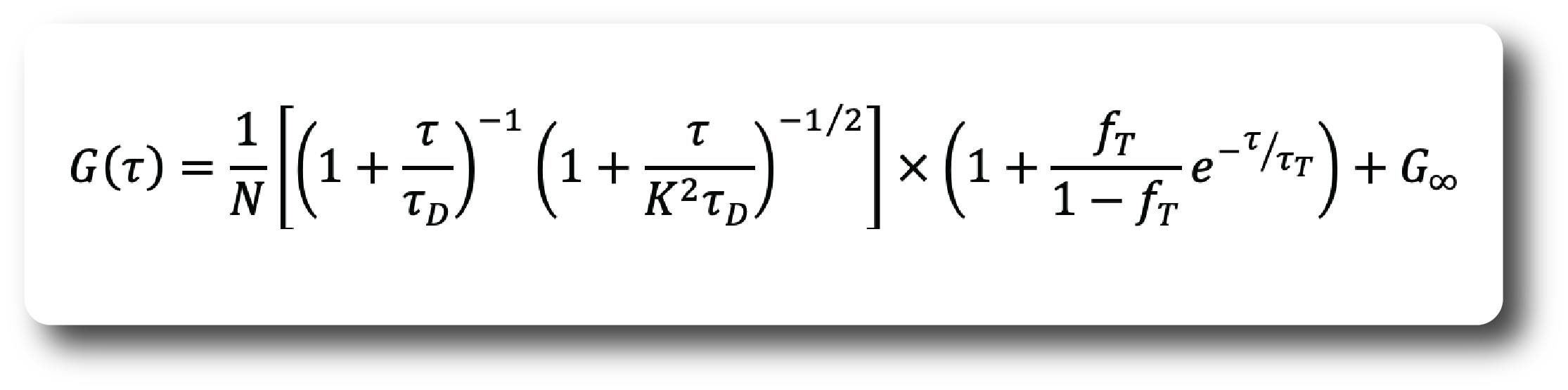
3D ACF for one freely diffusing component with triplet. The diffusion time is τD = 300 μs, the triplet time is set to τtrip = 5 μs. The triplet fraction, Ftrip, varies from 0 to 0.8 in steps of 0.1.