
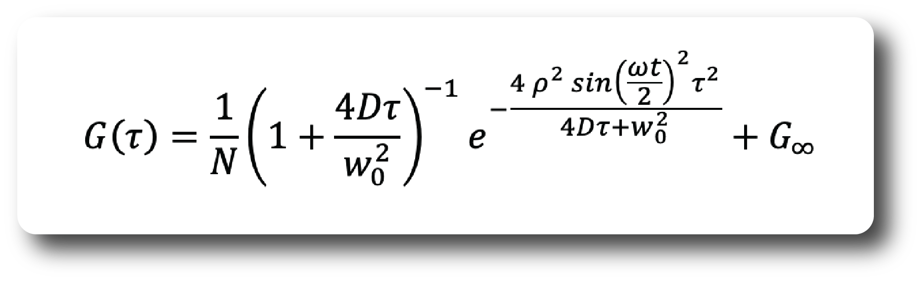
Theoretical correlation functions for circular scanning FCS at different scan frequencies. The ACF (blue) shows a characteristic oscillatory pattern determined by the period T (=f-1) of the circular scan. The ACF is limited on the lower side by the CCF of two points on opposite sides of the circle (gray) and on the upper side by the ACF of the size of the scanned volume (yellow).